CHEM 3303 - Supplementary Problems - Part 2

Review: Linear Combinations of Atomic Orbitals (LCAO's)

Question 1

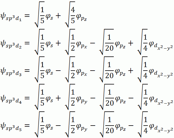
a. sp3d: Square Pyramidal, axial-base angle = 90°

Coordinate System for Square Pyramidal

LCAO for Square Pyramidal

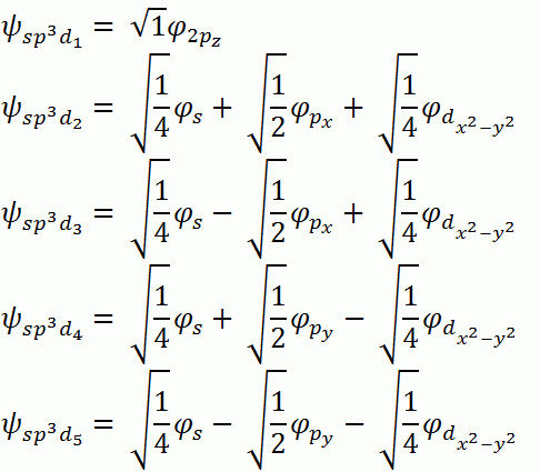
b. sp3d: Square Pyramidal, axial-base angle > 90°

Coordinate System for Square Pyramidal

LCAO for Square Pyramidal

Symmetry Adapted Linear Combinations (SALCs)

Question 1

a. PdCl42- (square planar)

Point Group = D4h

D4hE2C4C22C2'2C2"i2S4σhvd
Γσ4002000420

Reduces to A1g + B1g + Eu


b. SiCl4

Point Group = Td

TdE8C33C26S4d
Γσ41002

Reduces to A1 + T2


c. cis-PtF2Cl22-

Point Group = C2v

C2vEC2σvσv'
Γσ(F)2020
Γσ(Cl)2020

Reduces to A1 + B1 for both F and Cl


d. SF6

Point Group = Oh

OhE8C36C26C43C2i6S48S6hd
Γσ6002200042

Reduces to A1g + Eg + T1u


Question 2

a. PdCl42- (square planar)

Square Planar SALCs

b. SiCl4

Tetrahedral SALCs

c. cis-PtF2Cl22-

Square Planar SALCs (C2v)

d. SF6

Octahedral SALCs

Molecular Orbital Diagrams (σ-bonding)

Question 1

a. trans-SF2Cl4

Point Group = D4h

D4hE2C4C22C2'2C2"i2S4σhvd
Γσ(F)2220000022
Γσ(Cl)4002000420

Γσ(F) reduces to A1g + A2u

Γσ(Cl) reduces to A1g + B1g + Eu

SF2Cl4 MO

b. NH4+

Point Group = Td

TdE8C33C26S4d
Γσ41002

Reduces to A1 + T2

NH4+ MO

c. SF6

Point Group = Oh

OhE8C36C26C43C2i6S48S6hd
Γσ6002200042

Reduces to A1g + Eg + T1u

SF6 MO

Molecular Orbital Diagrams (π-bonding)

Question 1

a. SiF4

Point Group = Td

All sets of vectors lie along a C3 rotation axis, therefore the p orbitals cannot be separated into subsets

TdE8C33C26S4d
Γπ8-1000

Reduces to E + T1 + T2

Note: Si used s, px, py and pz orbitals for σ-bonding

SiF4 pi MO

b. GeH2Cl2

Point Group = C2v

Only the Cl atoms can participate in π-bonding. The Cl atoms lie along a C1 rotation axis, therefore the p orbitals can be separated into perpendicular and parallel to the Cl-Ge-Cl plane.

C2vEC2σvσv'
Γπ20-20
Γπ //2020

Γπ⊥ reduces to A2 + B2

Γπ // reduces to A1 + B1

Hint: Draw the SALCs to determine the relative order

Note: Ge used s, px, py and pz orbitals for σ-bonding

GeH2Cl2 pi MO

c. SnCl62-

Point Group = Oh

All sets of vectors lie along a C4 rotation axis, therefore the p orbitals cannot be separated into subsets

OhE8C36C26C43C2i6S48S6hd
Γσ12000-400000

Reduces to A1g + Eg + T1u

SnCl62- pi MO

Question 2

a. π-bonding perpendicular to the plane

Point Group = D4h

The vectors lie along a C2 rotation axis, there the p orbitals can be separated into one set of four perpendicular to the plane and one set of four parallel to the plane.

Recall that d block elements use ns, np and (n-1)d orbitals for bonding, and that (n-1)d orbitals are lower in energy than ns and np orbitals.

D4hE2C4C22C2'2C2"i2S4σhvd
Γπ400-2000-420

Reduces to Eg + A2u + B2u

PtCl42- pi perpendicular MO

b. π-bonding parallel to the plane

Point Group = D4h

The vectors lie along a C2 rotation axis, there the p orbitals can be separated into one set of four perpendicular to the plane and one set of four parallel to the plane.

Recall that d block elements use ns, np and (n-1)d orbitals for bonding, and that (n-1)d orbitals are lower in energy than ns and np orbitals.

D4hE2C4C22C2'2C2"i2S4σhvd
Γπ400-20004-20

Reduces to A2g + B2g + Eu

PtCl42- pi parallel MO